Помогите решить систему уравнения методом алгебраического сложения 9 класс.
Предмет:
АлгебраАвтор:
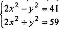
ryannicholson(2x²-y²)+(2x²+y²)=41+59
4x²=100
x²=25
x=±5
2 случая:
-y²=41-50
-y²=-9
y²=9
y=±3
=======================================
Автор:
mario7ay1Добавить свой ответ
Задача.За 3ч работы один экскаватор вынул 555 кубических м земли.Сколько кубических м земли вынет второй эскаватор за 4ч,если в час он вынимает на 15 кубических м больше,чем первый?
Предмет:
МатематикаАвтор:
jacintoxxloОтветов:
Смотреть
Подул сильный ветер,листья закружились. нужна схема
Предмет:
Русский языкАвтор:
nemog8ikОтветов:
Смотреть
Предмет:
Русский языкАвтор:
cabreraОтветов:
Смотреть
Проверочное слово к слову генерал
Предмет:
Русский языкАвтор:
jesslambОтветов:
Смотреть