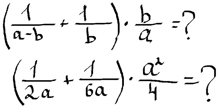
• Как упростить данные выражения? Помогите решить! Заранее большое спасибо.

    question img

Ответы 1

  • ( \frac{1}{a-b}+ \frac{1}{b})* \frac{b}{a}= (\frac{b+a-b}{b(a-b)})* \frac{b}{a}= \frac{b^{2}+ab-b^{2} }{(ab-b^{2})*a } = \frac{ab}{ab(a-b)}= \frac{1}{a-b}  (\frac{1}{2a}+ \frac{1}{6a})* \frac{a^{2} }{4}= \frac{(3+1)}{6a}* \frac{a^{2} }{4}= \frac{4*a^{2} }{24*a}= \frac{a}{6}
    • Автор:

      mcdonald
    • 6 лет назад
    • 0
  • Добавить свой ответ

Войти через Google

или

Забыли пароль?

У меня нет аккаунта, я хочу Зарегистрироваться

How much to ban the user?
1 hour 1 day 100 years