область определения функции f(x)=корень из x+2+x-2/x-5
кому не понятно то что я напсал смотрите картинку!
Предмет:
АлгебраАвтор:
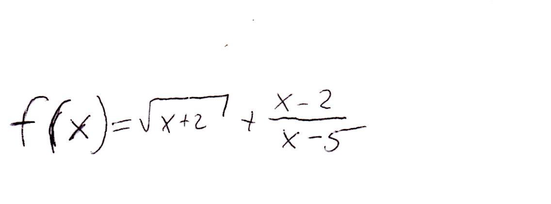
declanzrzdf(x)=√(x+2)+(x-2)/(x-5),
{x+2≥0,
x-5≠0;
{x≥-2,
x≠5;
x∈[-2;5)U(5;+∞)
Автор:
conradoowensДобавить свой ответ
AlBr3+HCl=реакция идет?
Предмет:
ХимияАвтор:
claudiamolinaОтветов:
Смотреть
Предмет:
АлгебраАвтор:
pierreavhpОтветов:
Смотреть
а) Мальчик заметил, что на путь по течению реки было затрачено меньше времени, чем на тот же путь против течения. Чем это можно объяснить, если учесть, что мотор лодки работал одинаково хорошо во время всей поездки?
Предмет:
МатематикаАвтор:
gummy pop2jbkОтветов:
Смотреть
Решите задачи по действиям, с пояснением плиз!)
Предмет:
МатематикаАвтор:
rangelОтветов:
Смотреть