• Здравствуйте!
    Прошу объяснить,как это получилось.

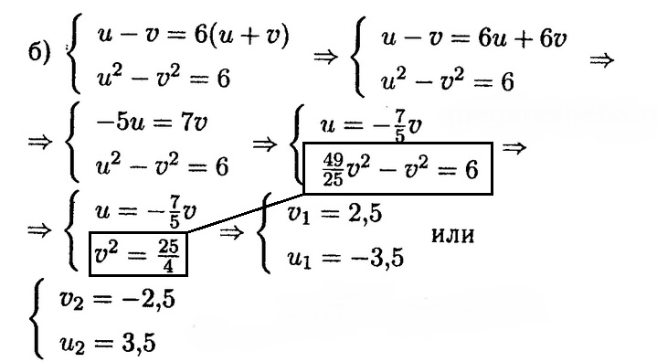
    question img

Ответы 1

  • 49/25 v-v=649/25 v-25/25 v=624/25 v=6v=6* 25/24v=25/4
  • Добавить свой ответ

Войти через Google

или

Забыли пароль?

У меня нет аккаунта, я хочу Зарегистрироваться

How much to ban the user?
1 hour 1 day 100 years