1)sin2 60°-tg(-45°)+sin180°помогите
2)вложение
Предмет:
АлгебраАвтор:
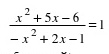
boo-booowensсначала в знаменателе избавимся от минуса
(x² + 5x - 6) / (x² - 2x + 1) = 1
разложим числитель и знаменатель на множители.
(x + 6)(x - 1) / (x-1)² = 1
После сокращений получим:
(x+6) / (x-1) = 1
Автор:
elainemcintyre
ОДЗ:
D=
Т.к. х не может равняться 1, то ответом является число -2,5
Автор:
tristianl1tmДобавить свой ответ
география материков и стран контурная карта политическая
Щет, срочно надо. ПОжалуйста, хотя бы систему, а? Прошу;З
Системы уравнений как математические модели реальных ситуаций
1. Гипотенуза прямоугольного треугольника равна 17 см, а периметр треугольника равен 40 см. Найдите катеты прямоугольного треугольника.
2. Две трубы, работая совместно, наполняют бассейн за 4 часа. Первая труба в отдельности может наполнить его на 6 часов быстрее, чем вторая. За сколько часов заполняет бассейн первая труба?
Предмет:
Русский языкАвтор:
ruizpinpОтветов:
Смотреть
Предмет:
Русский языкАвтор:
casehatfieldОтветов:
Смотреть