• Степени и корни.


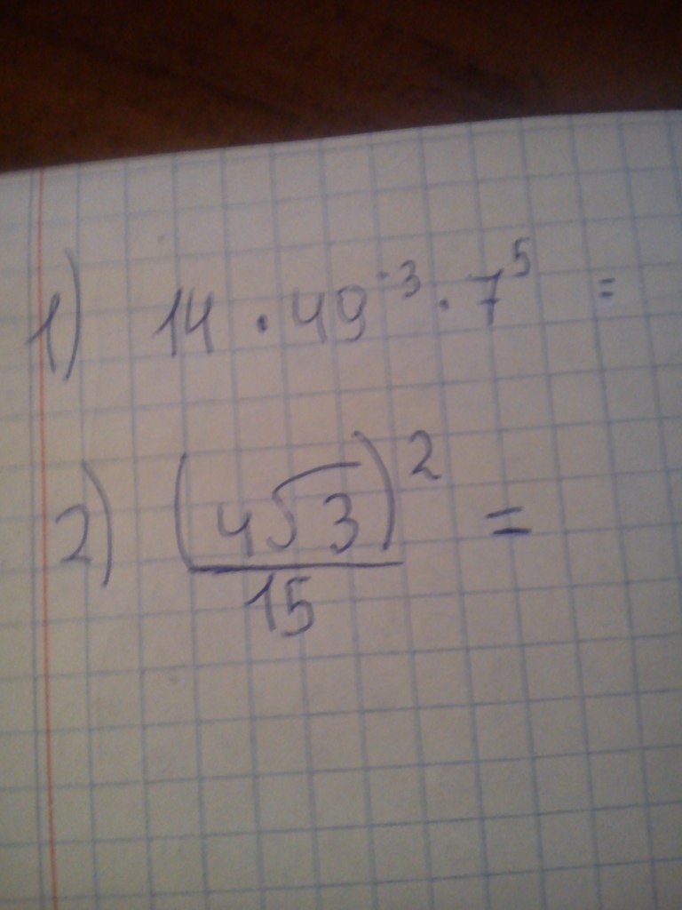
    Найдите значение выражений
    С решением)
    Заранее спасибо)))

    question img

Ответы 3

  • Спасибо
    • Автор:

      allywhite
    • 6 лет назад
    • 0
  • 14 * 49^(-3) * 7^5 = 7 * 2 * (7^2)^(-3) * 7^5= 2*7^1 * 7^(-6)* 7^5 ==2  * 7^(1-6+5)= 2 * 7^0 = 2*1 = 2.2) (4 * sgrt3)^2 / 15 = 4^2 * 3 / 15 = 16*3/15 = 16/5 = 3,2
  • ....................
    answer img
  • Добавить свой ответ

Войти через Google

или

Забыли пароль?

У меня нет аккаунта, я хочу Зарегистрироваться

How much to ban the user?
1 hour 1 day 100 years