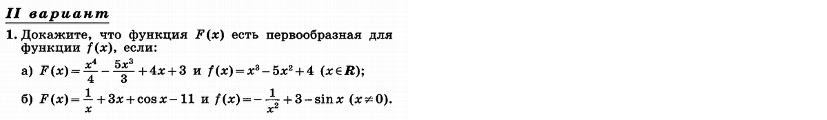
• Докажите, что функция F(x) есть первообразная для функции f(x), если:

    question img

Ответы 2

  • F'(x)=(\frac{x^4}{4}-\frac{5x^3}{3}+4x+3)'=\frac{4x^3}{4}-\frac{5*3x^2}{3}+4=x^3-5x^2+4=f(x)F'(x)=(x^{-1}+3x+cos(x)-11)'=-1*x^{-2}+3-sin(x)=\\=-\frac{1}{x^2}+3-sin(x)=f(x)
    • Автор:

      xzavier
    • 6 лет назад
    • 0
  • F`(x)=x³-5x²+4f`(x)=f(x)F`(x)=-1/x²+3-sinxF`(x)=f(x)
  • Добавить свой ответ

Войти через Google

или

Забыли пароль?

У меня нет аккаунта, я хочу Зарегистрироваться

How much to ban the user?
1 hour 1 day 100 years