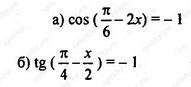
• РЕШИТЕ 2 УРАВНЕНИЯ,ПОДРОБНО РАСПИШИТЕ КАК РЕШАТЬ. ОТМЕЧУ КАК ЛУЧШЕЕ

    question img

Ответы 1

  • 1.\;\cos\left(\frac\pi6-2xight)=-1\\\frac\pi6-2x=\pi+2\pi n\\-2x=\frac{5\pi}6+2\pi n\\x=-\frac{5\pi}{12}-\pi n,\;n\in\mathbb{Z}\\\\2.\;tg\left(\frac\pi4-\frac x2ight)=-1\\\frac\pi4-\frac x2=\frac{3\pi}4+\pi k\\-\frac x2=\frac\pi 2+\pi k\\x=-\pi-2\pi k,\;k\in\mathbb{Z}
    • Автор:

      carina
    • 6 лет назад
    • 0
  • Добавить свой ответ

Войти через Google

или

Забыли пароль?

У меня нет аккаунта, я хочу Зарегистрироваться

How much to ban the user?
1 hour 1 day 100 years