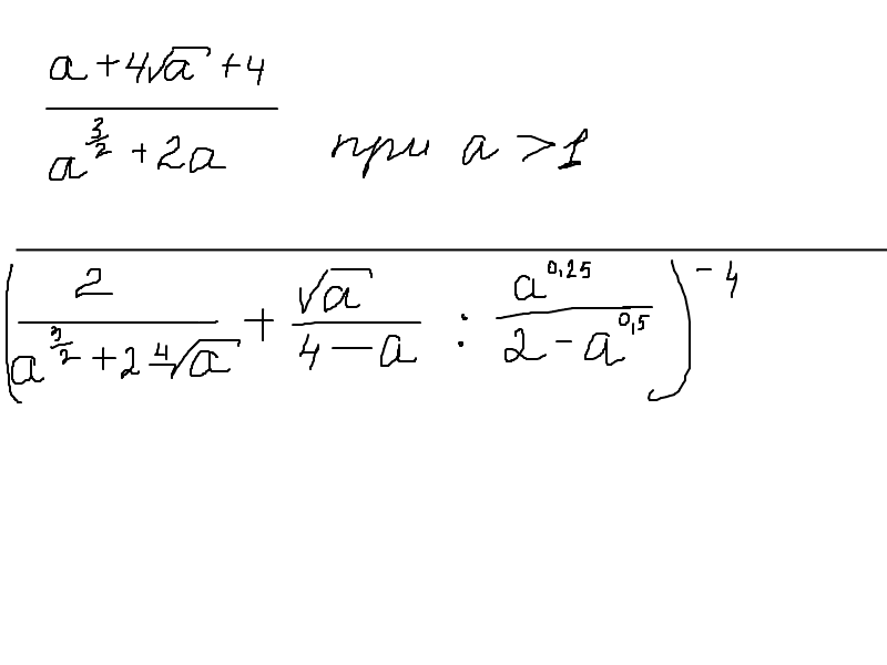
сократите дробь (a+4* корень из a + 4) / (a^(3/2) + 2a); помогите пожалуйста!!! и еще одно уравнение упростить выражение(оба выражения в вложении)
Предмет:
АлгебраАвтор:
bobbiehayes___________________________________________________________________________
Автор:
curlye8gaДобавить свой ответ
Предмет:
Українська моваАвтор:
heribertoОтветов:
Смотреть
Составьте сложноподчиненные предложения с многозначными придаточными,употребляя в роли опорных слов существительные:
1) требование;
2)убеждение;
3)приказ;
4)мольба;
помогите пожалуйста хоть одно предложение))
Предмет:
Русский языкАвтор:
bibblesОтветов:
Смотреть
Предмет:
ГеометрияАвтор:
agustindurhamОтветов:
Смотреть
Чем объяснить, что воздух над океаном теплее, чем над антарктидой?