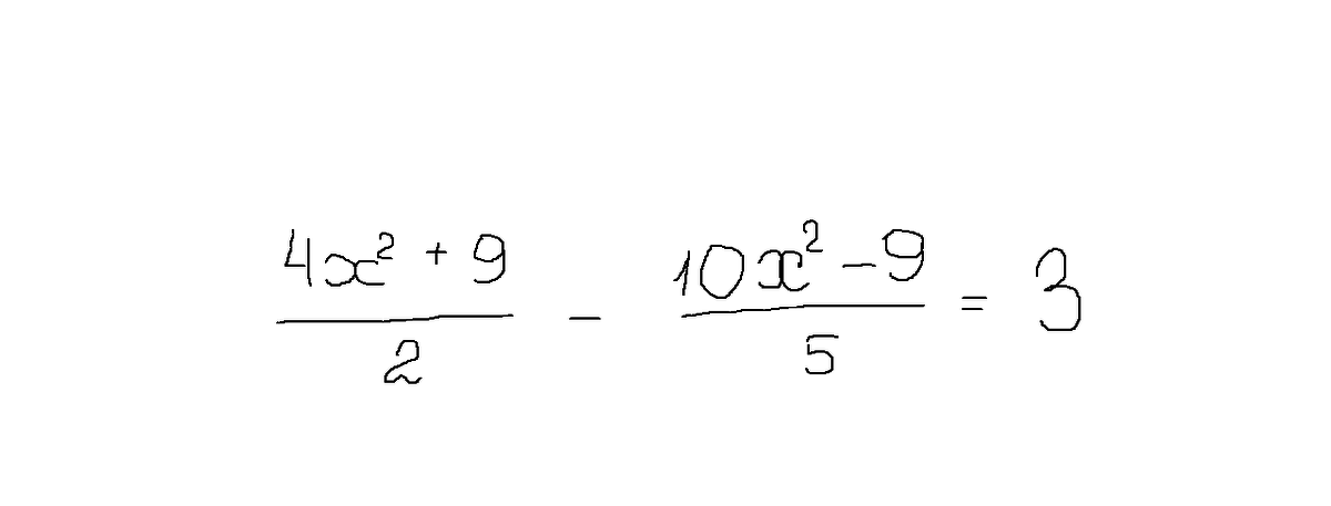
• Решить уравнение.Срочно. Пожалуйста, нужно подробное решение.

    question img

Ответы 2

  • Приведем к общему знаменателю. Это 10. Значим, домножим первую дробь на 5, вторую на 2 и 3 - на 10Получим дробь у которой в знаменателе 10, а в чмслителе20x²+45-20x²+18=3020x² сократитсяОстанется 63=40Ответ: нет решений
  • = (20x^2+45-20x^2-18-30)/10= сокращаем =-3
    • Автор:

      zeussice
    • 6 лет назад
    • 0
  • Добавить свой ответ

Войти через Google

или

Забыли пароль?

У меня нет аккаунта, я хочу Зарегистрироваться

How much to ban the user?
1 hour 1 day 100 years