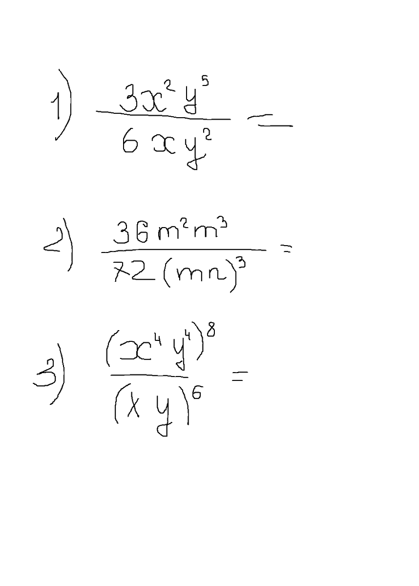
• Требуется упростить выражения.
    Решения не нужно. Только ответы.
    Прошу писать только если точно уверены в правильности своего решения.
    Спасибо.

    question img

Ответы 1

  • Абсолютно верно
    • Автор:

      arely
    • 6 лет назад
    • 0
  • Добавить свой ответ

Еще вопросы

Войти через Google

или

Забыли пароль?

У меня нет аккаунта, я хочу Зарегистрироваться

How much to ban the user?
1 hour 1 day 100 years