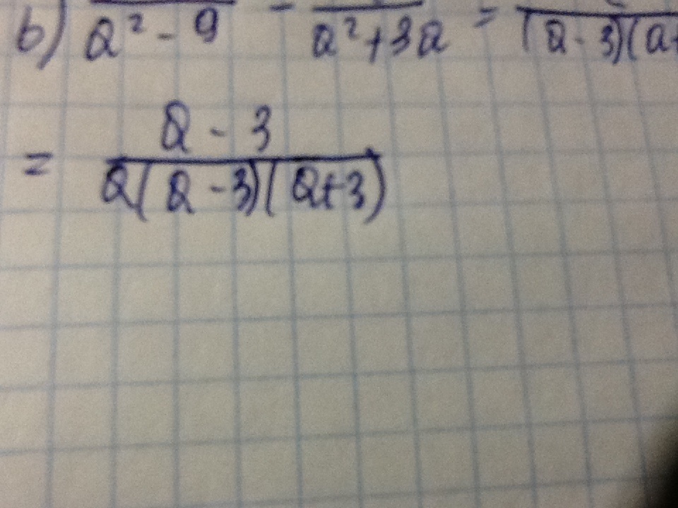
• Можно как нибудь а-3 в числителе взять в скобки чтобы сакротить

    question img

Ответы 1

  • А-3 убираются и получается 1/(а(а+3))
    • Автор:

      lunaa0ua
    • 6 лет назад
    • 0
  • Добавить свой ответ

Еще вопросы

Войти через Google

или

Забыли пароль?

У меня нет аккаунта, я хочу Зарегистрироваться

How much to ban the user?
1 hour 1 day 100 years