• найти производные функций
    Пожалуйста помогите

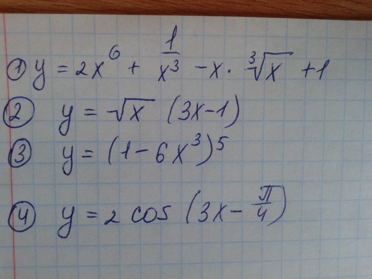
    question img

Ответы 1

  • 1)  y = 2x⁶ + x⁻³ - x⁴/³ + 1 y` = 12x⁵ - 3x⁻⁴ - (4/3)*(x¹/³) = 12x⁵ - 3/x⁴ - (4/3)*(x¹/³)2) y = 3*(x³/²) - x¹/²  y` = 4,5√x - 1/(2√x) 3) y = (2 - 6x³)⁵ y` = 5(2 - 6x³)⁴ *(-18х²) = - 90х²(2 - 6x) ⁴ 4) y = 2cos(3x - π/4)y` = - 2*3sin(3x - π/4) = - 6sin(3x - π/4)

    • Автор:

      snuggles
    • 6 лет назад
    • 0
  • Добавить свой ответ

Войти через Google

или

Забыли пароль?

У меня нет аккаунта, я хочу Зарегистрироваться

How much to ban the user?
1 hour 1 day 100 years