• Найдите два каких-нибудь решения уравнения:
    a) x+5y=6
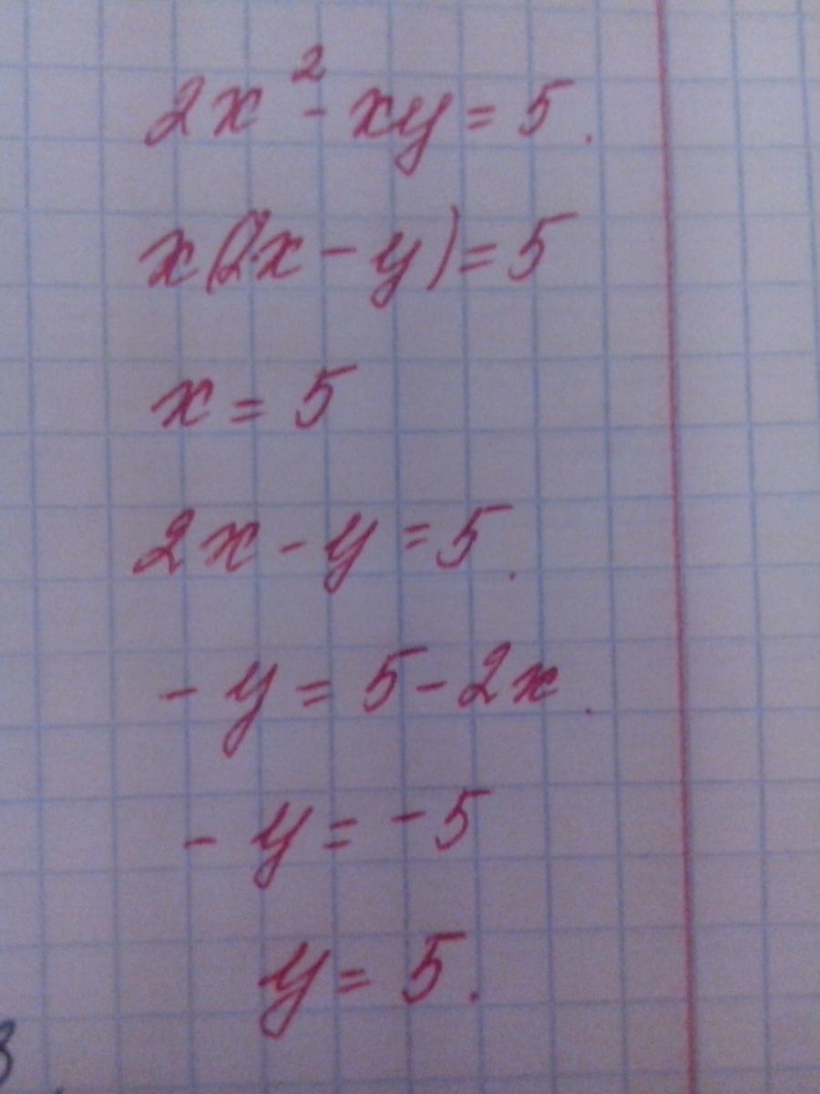
    б)2x^2-xy=5
    в)x^3-2y=0

Ответы 1

  • б) 2 x^{2} -xy=5
    answer img
    • Автор:

      cashggis
    • 2 года назад
    • 7
  • Добавить свой ответ

Еще вопросы

Войти через Google

или

Забыли пароль?

У меня нет аккаунта, я хочу Зарегистрироваться

How much to ban the user?
1 hour 1 day 100 years