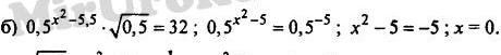
Собственно вопрос. У меня дано уравнение с решением. Мне не понятно - откуда тут взяли во второй строчки -5 степень? Как так они избавились от радикала? Кто мне объяснит как решать такие уравнения? Спасибо.
32=2^5 чтоб привести к основанию 0,5 т.е 1/2 надо число перевернуть, а переворачивает отрицательная степень, получили (1/2)^-5 или (0.5)^-5
мне важнее а ты знаешь, что корень это степень 1/2 или 0,5
Автор:
randy848Добавить свой ответ
Срочно нужна задача решение по действием + отмечу как лучшее.
а) в одном пакете 1,5 кофе а в другом 0,9 кг. сколько кофе надо пересыпать из одного пакета в другой чтобы кофе в них оказалось поровну . сколько кофе будет после этого в каждом пакете.
б) в двух пакетах 1,3 кг семян . если из одного пакета пересыпать в другой 0,15 кг семян в пакетах станет поровну. сколько семян было в каждом пакете перврначально.
Предмет:
МатематикаАвтор:
blackjackОтветов:
Смотреть
Уж свежо на заре, Уж сентябрь НА ДВОРЕ И леса и поля В ПОЗОЛОТЕ ! помогите те слова которые написаны большим шрифтом надо определить склонение и падежь зарание Спасибки!
Предмет:
Русский языкАвтор:
claudeОтветов:
Смотреть