• Пожалуйста помогите решить примеры!!!очень нужно!!)

    question img

Ответы 1

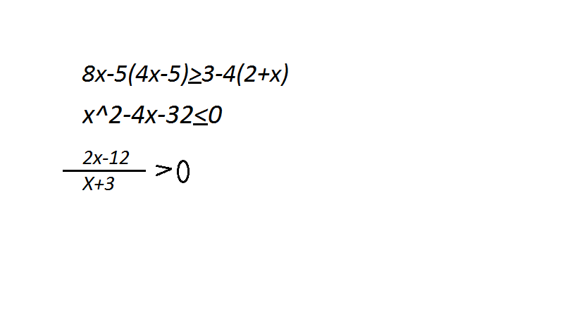
  • \mathsf{8x-5(4x-5) \geq 3-4(2+x)}\\
\mathsf{8x-20x+25 \geq 3-8-4x}\\
\mathsf{-12x+4x \geq -5-25}\\
\mathsf{-8x \geq -30}\\
\mathsf{x \leq  3\frac{3}{4} }\\
\\ \mathsf{x \in (-\infty;3 \frac{3}{4}]}Ответ: (-\infty;3 \frac{3}{4}]
.\mathsf{x^{2}-4x-32 \leq 0}\\
\mathsf{D=16-4\times1\times-(32)=144=12^{2}}\\
\mathsf{x_{1}= \frac{4+12}{2}=8}\\
\mathsf{x_{2}= \frac{4-12}{2}=-4}\\
\mathsf{-4 \leq x \leq 8}\\
\\
\mathsf{x \in [-4;8]} Ответ: \mathsf{[-4;8]}.\mathsf{ \frac{2x-12}{x+3}>0 }\\
\\
\mathsf{D(x):x eq -3}\\
\mathsf{2x-12>0}\\
\mathsf{2x>12}\\
\mathsf{x>6}\\
\mathsf{x<-3}
\\
\\
\mathsf{x \in (-\infty;3)\cup(6;+\infty)}Ответ: \mathsf{(-\infty;-3)\cup(6;+\infty)}.
    answer img
  • Добавить свой ответ

Еще вопросы

Войти через Google

или

Забыли пароль?

У меня нет аккаунта, я хочу Зарегистрироваться

How much to ban the user?
1 hour 1 day 100 years