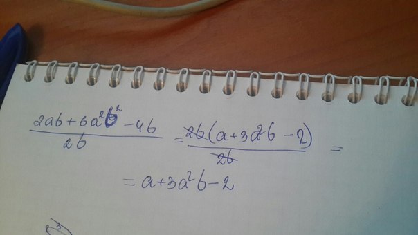
• (2ab+6a^2b^2-4b):2b выполнить деление многочлена на одночлен

Ответы 1

  • Вроде упростить его уже никак нельзя :)
    answer img
  • Добавить свой ответ

Еще вопросы

Войти через Google

или

Забыли пароль?

У меня нет аккаунта, я хочу Зарегистрироваться

How much to ban the user?
1 hour 1 day 100 years