РЕШИТЕ СРОЧНО ВЛОЖЕНИЕ. (УПРОСТИТЬ ВЫРАЖЕНИЕ)
Предмет:
АлгебраАвтор:
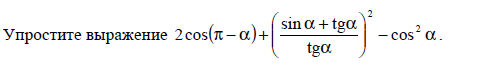
andregarza=-2cosa+(sina/tga+1)^2-cos^2a=-2cosa+(cosa+1)^2-cos^2a=-2cosa+cos^2a+2cosa+1-cos^2a=1
Автор:
frankiemorseДобавить свой ответ
Объясните ,какое значение в жизнедеятельности белой планарии имеют покрывающие ее тело реснички и слизь,выделяемая при передвижение.
частное чисел 630 и 7 увеличить в 3 раза
Предмет:
МатематикаАвтор:
christopher13Ответов:
Смотреть
приведите примеры просто организованных существ и существ,имеющих сложную организацию.Объясните почему их так называют.
Предмет:
БиологияАвтор:
cookieizesОтветов:
Смотреть
ЛЮДИ ПРОШУ НАПИШИ БЫСТРЕЕ МНЕ ЭТИ 3 ПРАВИЛА!!У МЕНЯ 1 УРОК АНГЛИЙСКИЙ И ТАМ КОНТРОША!!НАПИШИ КАКОЕ ПОКАЗЫВАЕТ ДЕЙСТВИЕ И С УТВЕРДИТЕЛЬНЫМИ ПРЕДЛОЖЕНИЕ НУ КАКИЕ ТАМ ПО ПРАВИЛАМ ИДУТ! 1.Past Simple 2.Past kontinius 3.Past perfect
Предмет:
Английский языкАвтор:
george39Ответов:
Смотреть