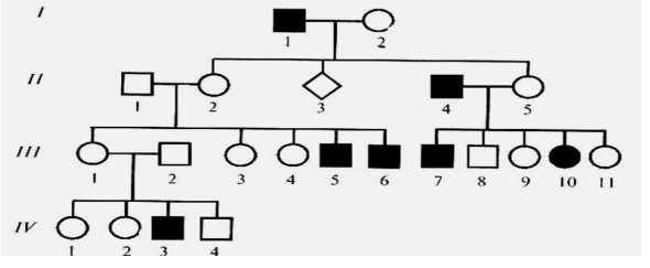
• 2. Охарактеризуйте родословную семьи по признаку наследования гемофилии.

    question img

Ответы 6

  • спасибо
    • Автор:

      sugar34
    • 6 лет назад
    • 0
  • Ген гемофилии рецессивен и сцеплен С Х- хромосомойХ. У женщин таких хромосом две. Если одна поражена таким геном, она оказывается более слабой и подавляется второй, доминантной, вследствие чего девочка остается только носителем, через которого гемофилия передается, но сама остается здоровой.
    • Автор:

      joey
    • 6 лет назад
    • 0
  • Вполне вероятно, что при зачатии обе Х-хромосомы могут содержать соответствующий ген. Однако при формировании плодом собственной кровеносной системы (а это происходит на четвертной неделе беременности) он становится нежизнеспособен, и происходит самопроизвольный аборт (выкидыш).
  • Поскольку такое явление может быть вызвано разными причинами, обычно никаких исследований самоабортного материала не производится, так что статистики по этому вопросу нет. Другое дело – мужчины. У них второй Х-хромосомы нет, ее заменяет Y.
    • Автор:

      silva
    • 6 лет назад
    • 0
  • Доминантного «икса» нет, поэтому если рецессивный себя проявляет, то начинается именно протекание болезни, а не ее латентное состояние. Однако поскольку хромосом все же две, вероятность такого развития сюжета составляет ровно половину всех шансов. 
    • Автор:

      héctor2
    • 6 лет назад
    • 0
  • Заболевание определяется доминантным признаком, тк встречается в каждом поколении.Гемофилия не сцеплена с полом, тк проявляется как у мужчин, так и женщин (однако женщина, как правило, является лишь носителем этого заболевания, т.е. она гетерозиготна по признаку заболевания(Аа); женщины, рождающиеся гомозиготными по доминантному признаку(АА) не доживают до половозрелости).
    • Автор:

      babs35vr
    • 6 лет назад
    • 0
  • Добавить свой ответ

Войти через Google

или

Забыли пароль?

У меня нет аккаунта, я хочу Зарегистрироваться

How much to ban the user?
1 hour 1 day 100 years