• Как вы думаете,почему в растительных и животных клетках углеводы накапливаются в виде полимеров,а ни мономеров?

Ответы 1

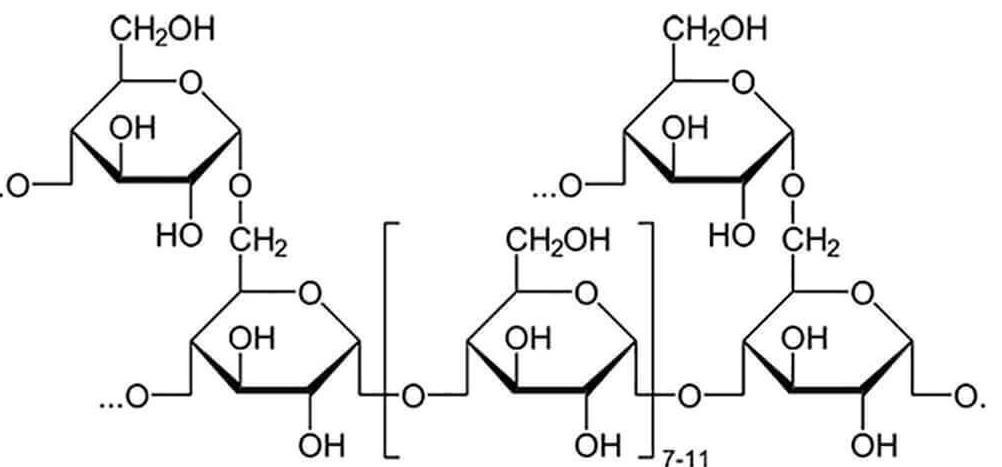
  • Накопление углеводов в клетках в виде полисахаридов необходимо для достижения компактности запасённого вещества. Запасается у нас моносахарид глюкоза, у растений - в виде крахмала, у животных и грибов - гликогена. Если бы каждая молекула глюкоза находилась в клетке по отдельности, она занимала бы огромное пространство в клетке, что недопустимо. Поэтому все эти сотни молекул связываются между собой, образуя полимер - полисахариды крахмал или гликоген.

    К тому же, полисахариды являются гидрофобными веществами, соответственно они не растворяются в цитоплазме, в отличии от молекул моносахаридов и дисахаридов. Следовательно, организму выгоднее запасать углеводы в виде полисахаридов, чтобы не поддерживать постоянно гомеостаз (в плане углеводов) между клеткой и внешней средой.  

    на картинке изображён гликоген, состоящий из множества микромолекул глюкозы.

    answer img
  • Добавить свой ответ

Войти через Google

или

Забыли пароль?

У меня нет аккаунта, я хочу Зарегистрироваться

How much to ban the user?
1 hour 1 day 100 years