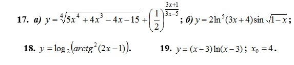
• Подскажите как вбить на клавиатуре вот эти задания!! Даю 20 баллов

    question img

Ответы 2

  • У меня: щелкаю Вставка, Объект (справа внизу, но не стрелка, а на само слово), там щелкнуть MicrosoftEquation3.0). Далее потренироваться методом тыка. Выбираем корни, дроби и т д. Винда 7 полная.
  • https://transfiles.ru/lcjwi
  • Добавить свой ответ

Войти через Google

или

Забыли пароль?

У меня нет аккаунта, я хочу Зарегистрироваться

How much to ban the user?
1 hour 1 day 100 years