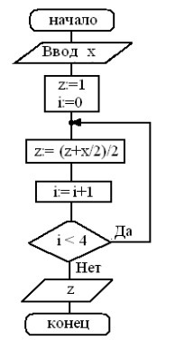
• 30 баллов! Дана блок-схема. Какое значение будет иметь z на выходе, если x=22?
    (промежуточные вычисление не округляйте; ответ округли до десятых)

    question img

Ответы 3

  • ответ подтверждаю.
    • Автор:

      juliaydsf
    • 6 лет назад
    • 0
  • Вообще, получается, что ты 4 раза пройдешь по телу цикла получая сначала

    z=47/4

    2)z=137/8

    3)z=317/16

    4)z=677/32

    И фактически, после 4 шага он выйдет из цикла и z у тебя будет = 677/32. по-моему так)

    • Автор:

      charmer
    • 6 лет назад
    • 0
  • Ответ: Z:=10,375=10
    • Автор:

      jamya1no1
    • 6 лет назад
    • 0
  • Добавить свой ответ

Еще вопросы

Войти через Google

или

Забыли пароль?

У меня нет аккаунта, я хочу Зарегистрироваться

How much to ban the user?
1 hour 1 day 100 years