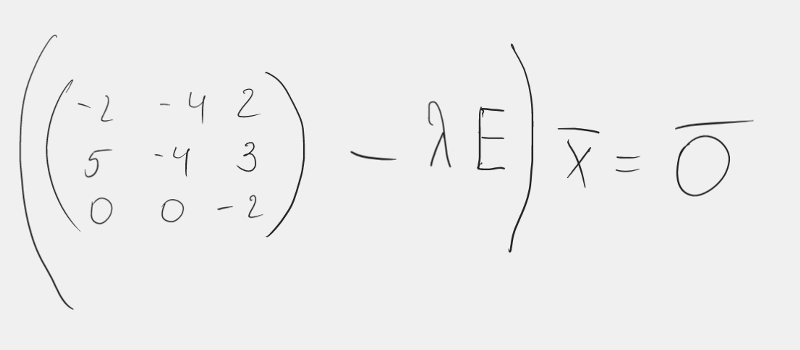
• Помогите решить матричное уравнение и задания к нему.

    question img

Ответы 2

  • Составь определитель и реши получившееся уравнения для лямбда
    • Автор:

      janitor
    • 3 года назад
    • 0
  • При экспонентных значениях - единственное решение. При ковариантных - бесконечное множество решений. Найти эти решения - 1 случай: тессеракт, второй квантовая нелокальность. Естественно, если рассматривать совершенно примитивную модель в качестве примера.
    • Автор:

      tyler158
    • 3 года назад
    • 0
  • Добавить свой ответ

Войти через Google

или

Забыли пароль?

У меня нет аккаунта, я хочу Зарегистрироваться

How much to ban the user?
1 hour 1 day 100 years