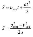
• Какую из этих двух формул нахождения пути когда применять?

    question img

Ответы 5

  • При решении задач, где известно и то, и другое, иногда получаются разные ответы.
    • Автор:

      kash
    • 6 лет назад
    • 0
  • Всё зависит от условия задачи. ошибка только в вычислениях.
  • В решении задачи было оговорено, что применять такую-то формулу было бы ошибочно, ибо получается другой ответ. Но почему её нельзя применять и почему получается другой ответ - не сказано.
    • Автор:

      tigger
    • 6 лет назад
    • 0
  • Вторая формула связана с законом сохранения энергии, возможно это надо учитывать.
    • Автор:

      annabelle
    • 6 лет назад
    • 0
  • Первая, когда известны начальная скорость, ускорение и время движения.

    Вторая - когда известны начальная и конечная скорость, и ускорение.(неизвестно время движения).

    Отличие во времени движения и конечной скорости.

  • Добавить свой ответ

Войти через Google

или

Забыли пароль?

У меня нет аккаунта, я хочу Зарегистрироваться

How much to ban the user?
1 hour 1 day 100 years