Тема: "Механические колебания и волны"
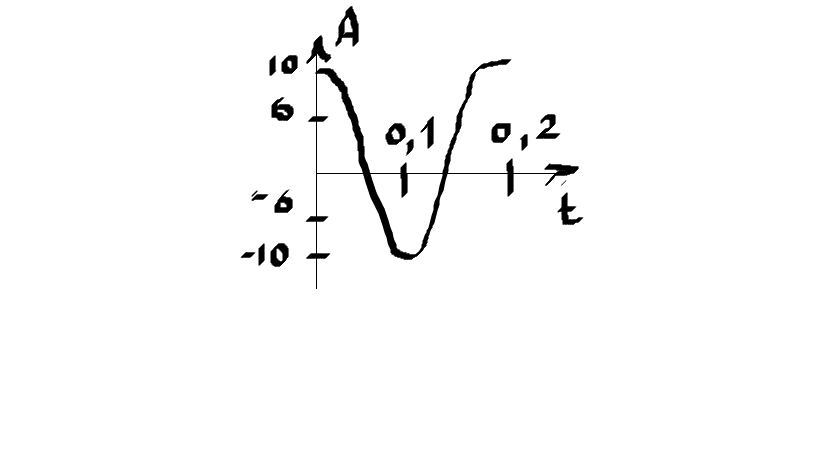
1. На рисунке представлен график зависимости координаты тела, совершающего гармонические колебания, от времени. Определите период колебаний.
2. Чему равен период свободных колебаний пружинного маятника, если масса груза равна 0,25 кг, а жесткость пружины 100 Н/м?
3. Лодка качается в море на волнах, которые распространяются со скоростью 2 м/с. Расстояние между двумя ближайшими гребнями волн 6 м. Какова частота ударов волн о корпус лодки?
4. Какие превращения энергии совершаются при движении математического маятника из крайнего правого положения к положению равновесия? (Силой трения в точке подвеса и силой сопротивления воздуха пренебречь.)
1) так как полное колебание тело совершает за 0,2 секунды, то период равен 0,2 секунды
2) T=2п*корень(m/k)=2*3,14*корень(0,25/100)=0,314
3) v`=1/T=v/l=2/6=0.33
4) потенциальная энергия переходит в кинетическую
Автор:
first mateДобавить свой ответ
помогите задание страница 96 упр 176 автор заболотний и заболотний
Предмет:
Українська моваАвтор:
karleyi7xfОтветов:
Смотреть
Помогите прошу!!!! Придумай свой рассказ, который можно было бы отнести к словам "Делу время потехе час" Начни со слов: "Однажды я"......
Предмет:
ЛитератураАвтор:
snickersvogzОтветов:
Смотреть
И для пропина, и для пропена характерно следующее: А) вступают в реакцию бромирования Б) sp-гибридизация атомов углерода в молекуле В) наличие π-связи в молекулах Г) вступают в реакцию гидрирования Д) горение на воздухе Е) реакция изомеризации
Предмет:
Русский языкАвтор:
marin9vbtОтветов:
Смотреть