• Определить емкость конденсатора с площадью пластин S0 и расстоянием D0 между ними, если в нем находится диэлектрическая пластина площадью S и толщиной D с диэлектрической проницаемостью E.

Ответы 1

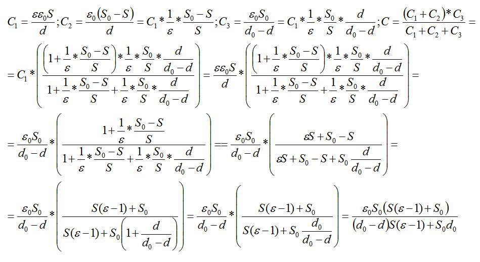
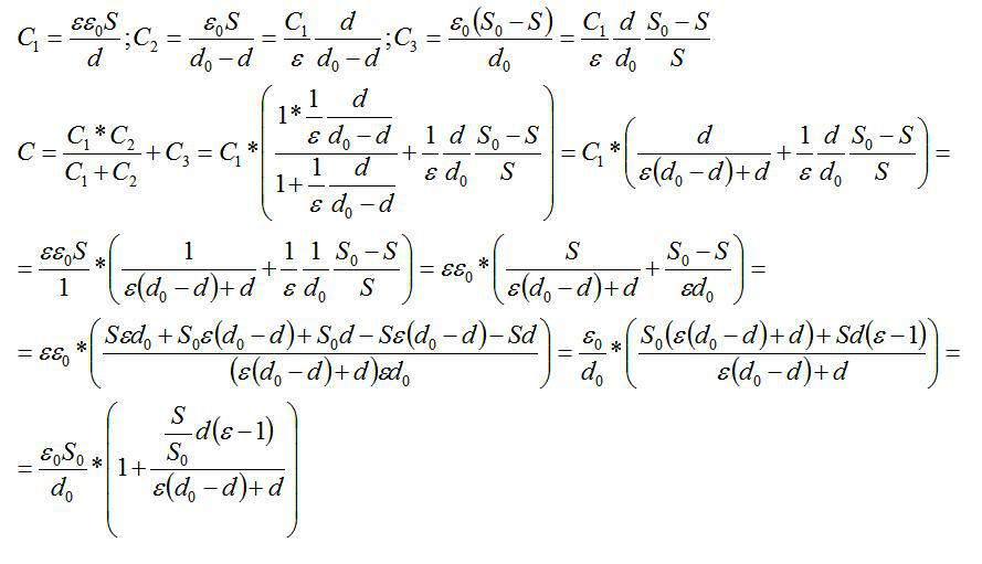
  • у меня ответ получился другойвероятно разбивали конденсатор по-другомупервые два вложения соответствуют тому как я бы решалдва другие соответствуют ответу в учебникевыбирать Вам !
    answer img
    answer img
    answer img
    answer img
    • Автор:

      jadondixp
    • 2 года назад
    • 12
  • Добавить свой ответ

Войти через Google

или

Забыли пароль?

У меня нет аккаунта, я хочу Зарегистрироваться

How much to ban the user?
1 hour 1 day 100 years