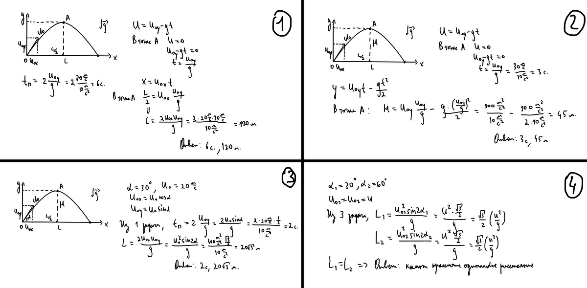
• 1. Камень бросили с горизонтальной площадки под углом к горизонту так, что проекции начальной скорости вектор Uо равны Uох=20 м/с и U=30 м/с. Ось Х проведена горизонтально в направлении места падения камня, а ось Y - вертикально вверх. Определите время полёта камня и расстояние L по горизонтали от точки бросания камня до места его падения. ( должно получится 6 с, 120 м )
    2.Определите время и максимальную высоту подъёма камня из выше представленной задачи. ( результат: 3 с, 45 м )
    3. Камень бросили с горизонтальной площадки с начальной скоростью вектор Uо под углом α=30° к горизонту. Определите время полёта камня и расстояние L по горизонтали от точки его бросания до места падения на площадку, если модуль его начальной скорости равен 20 м/с. ( 2 с, 20√3 м )
    4. Два камня бросили с горизонтальной площадки к одинаковым по модулю начальными скоростями под углами α1=30° и α2=60° к горизонту. Определите, какой из камней пролетит большее расстояние по горизонтали от точки бросания до точки падения. ( оба камня пролетят одинаковые расстояния)

Ответы 1

  • Решения на картинке.
    answer img
  • Добавить свой ответ

Войти через Google

или

Забыли пароль?

У меня нет аккаунта, я хочу Зарегистрироваться

How much to ban the user?
1 hour 1 day 100 years