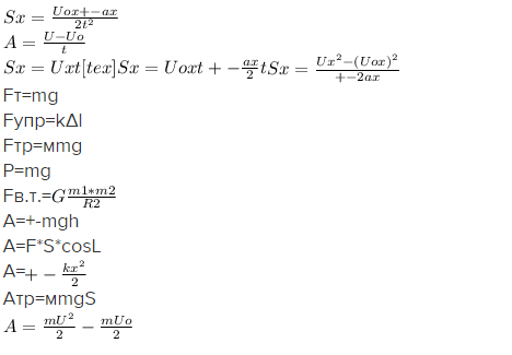
• Как называется каждая из этих формул. Например: 1. Модуль ускорения и т.д

    question img

Ответы 1

  • 1. проекция перемещения на ось х2. ускорение3. еще одна формула проекции вектора перемещения4. сила тяжести5. сила упругости6. сила трения7. вес тела8. закон всемирного тяготения9. работа силы тяжести10. общая формула механической работы11. работа силы упругости12. работа силы трения13. изменение кинетической энергии движущегося тела (работа =кинетической энергии движущегося тела)
    • Автор:

      chum
    • 6 лет назад
    • 0
  • Добавить свой ответ

Войти через Google

или

Забыли пароль?

У меня нет аккаунта, я хочу Зарегистрироваться

How much to ban the user?
1 hour 1 day 100 years