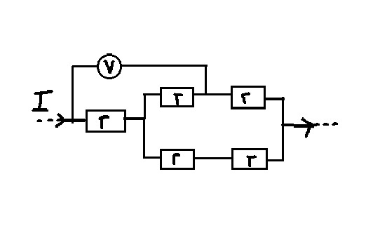
• пять одинаковых резисторов с сопротивлением r=2 ом, соединены в электрическую цепь, через которую течет ток I . Идеальный вольтметр показывает напряжение 9 В. Чему равна сила тока I?

    question img

Ответы 1

  • Через идеальный вольтметр ток не течёт. Поскольку цепь симметрична, по верхней и по нижней ветвям потечёт одинаковый ток, равный I/2Показания вольтметра равны сумме напряжений на двух резисторах, показанных на фрагменте схемы электрической цепиU=I*r+I/2*r=9ВВыразим IU=I(r+r/2)I=U/(r+r/2)I=9/(2+1)=3А
    • Автор:

      moisés29
    • 6 лет назад
    • 0
  • Добавить свой ответ

Войти через Google

или

Забыли пароль?

У меня нет аккаунта, я хочу Зарегистрироваться

How much to ban the user?
1 hour 1 day 100 years