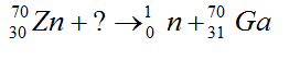
• Допишите уравнение ядерной реакции, определите неизвестный элемент, и укажите для негоколичество нуклонов, протонов и нейтронов в составе атома.


    question img

Ответы 1

  • ₃₀Zn⁷⁰+₁H¹→₀n¹+₃₁Ga⁷⁰нуклонов 1протонов 1нейтронов нет
    • Автор:

      ricky
    • 6 лет назад
    • 0
  • Добавить свой ответ

Еще вопросы

Войти через Google

или

Забыли пароль?

У меня нет аккаунта, я хочу Зарегистрироваться

How much to ban the user?
1 hour 1 day 100 years