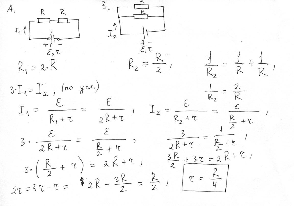
• К источнику тока присоединили последовательно два одинаковых сопротивления.Когда их соединили параллельно,сила тока в цепи увеличилась в 3 раза.Во сколько раз каждое из сопротивлений больше внутреннего сопротивления источника?
    С рисунком, пожалуйста

Ответы 1

  • в 4 раза больше, см. рисунок.
    answer img
  • Добавить свой ответ

Еще вопросы

Войти через Google

или

Забыли пароль?

У меня нет аккаунта, я хочу Зарегистрироваться

How much to ban the user?
1 hour 1 day 100 years