Сопротивление первого проводника в 2 раза больше, чем второго. какое из них выделит большее количество теплоты? Почему?
Автор:
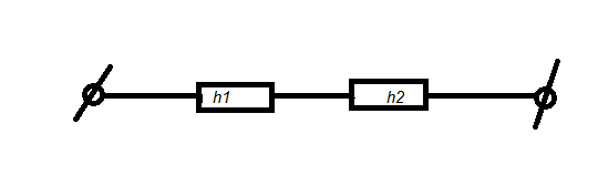
moonshineprinceДва проводника сопротивлением 10 и 15 Ом соединены параллельно и подключены к напряжению 12 В. Определите силу тока в каждом проводнике и силу тока до разветвления.
Дано: Решение:
Ответ:
1,2 А; 0,8 А; 2 А.
Автор:
goonubhyДобавить свой ответ
составить предложение сос словами звенит песня
Предмет:
Русский языкАвтор:
beauxzceoОтветов:
Смотреть
Предмет:
МатематикаАвтор:
matías34Ответов:
Смотреть
какое влияние оказала Великая французская революция на Европу? СРОЧНО!ВАЖНО! С:
Предмет:
ИсторияАвтор:
cindergilbertОтветов:
Смотреть
От следующих существительных образуйте формы:
а) творительного падежа единственного числа: ночь, рожь, степень, путь, семья, соловей, юноша, станция, Бородино, Пушкино, Юрьев, Ростов, Царицын;
б) творительного падежа множественного числа: ночь, плеть, кость, дочь, церковь, мать, сосед, зверь, гвоздь, гость, желудь, коготь, ухо, плечо, колено;
в) предложного падежа с предлогами о (об), в, на. Поставьте ударение. Придумайте предложения с данными существительными в этой форме: берег, бестия, брошь, варенье, ветер, вихрь, газ, глаз, галерея, гость, гостья, город, гений, дом, дичь, дуб, затишье, здание, запястье, зуб, край, кий, ложь, лишай, лось, мост, мох, мыс, Наталья, отпуск, плот, сад, стол, сияние, тень, улей, фамилия, устье, цех, холод, чай, шкаф.
Предмет:
Русский языкАвтор:
beanievtwqОтветов:
Смотреть