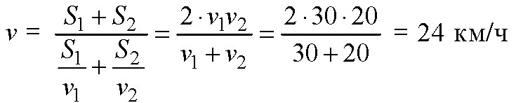
• Первую половину пути велосипедист ехал со скоростью 20 км/ч, а вторую половину - со скоростью 30 км/ч. найти среднюю скоростью велосипедиста

Ответы 1

  • Средняя скорость велосипедиста - 24 км/ч. Ниже представлено решение. Надеюсь, что помогла. Удачной Физики.
    answer img
  • Добавить свой ответ

Войти через Google

или

Забыли пароль?

У меня нет аккаунта, я хочу Зарегистрироваться

How much to ban the user?
1 hour 1 day 100 years