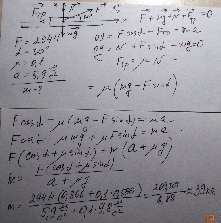
• Груз перемещается по горизонтальной плоскости под действием силы 294 Н, направленной под углом 30 градусов к горизонту. Коэффициент трения груза о плоскость 0,1. Ускорение 5, 9м/с^2. Найдите массу груза ?

Ответы 1

  • Решение смотрите на фотографии
    answer img
    • Автор:

      jettahess
    • 2 года назад
    • 6
  • Добавить свой ответ

Войти через Google

или

Забыли пароль?

У меня нет аккаунта, я хочу Зарегистрироваться

How much to ban the user?
1 hour 1 day 100 years