• Помогите пожалуйста с физикой нужно очень срочно :
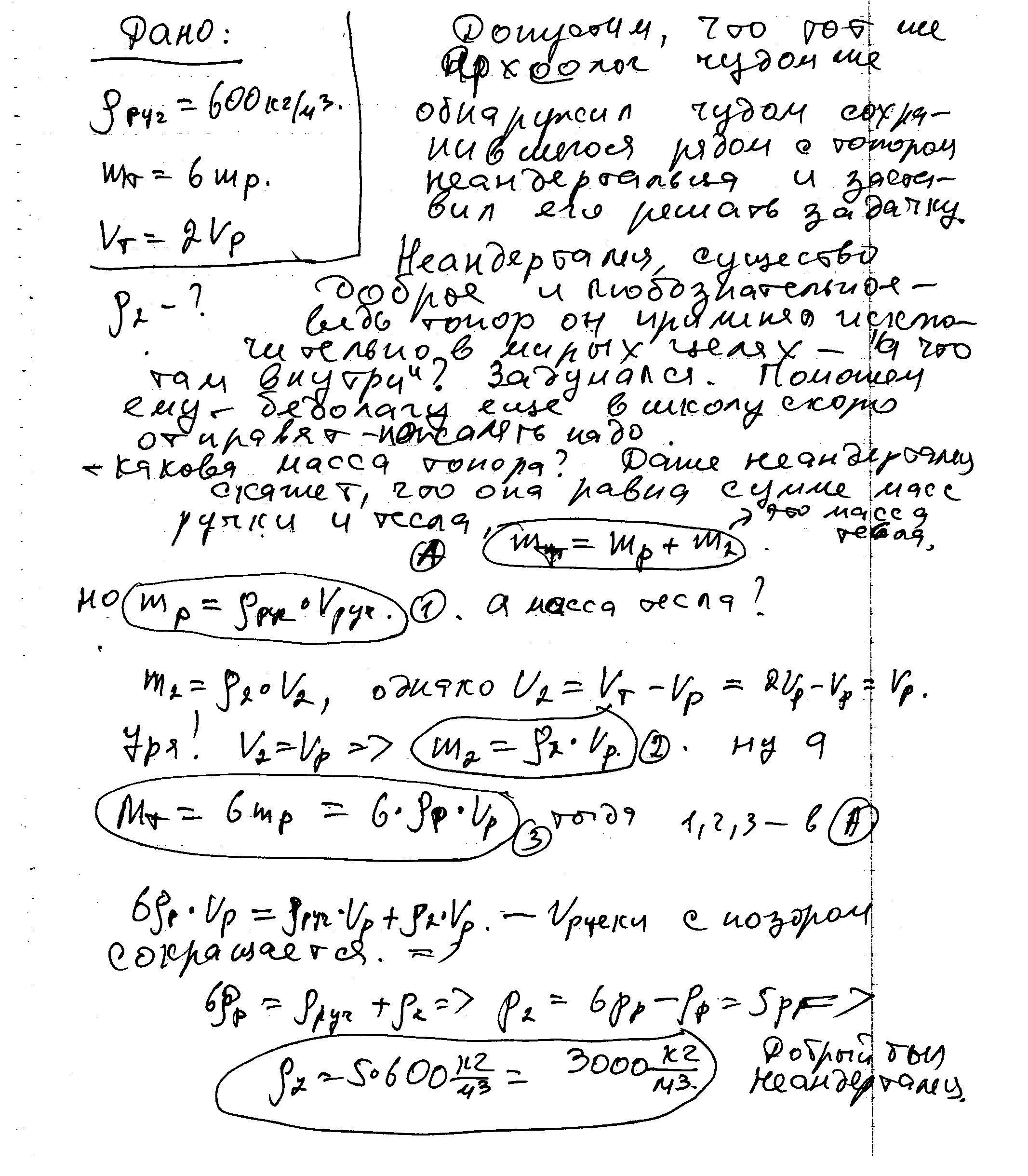
    Археологи обнаружили топор неандертальца, состоящий из чудом сохранившейся деревянной ручки и каменного тесла. Известно что древнее дерево имеет плотность p1=600 кг/м^3 и масса изготовленной из него ручки составляет 1/6 часть от массы всего топора, а объем ручки - половину от объема всего топора. Найдите плотность p2 камня, из которого изготовлен тесло.

Ответы 1

  • Ребята! Нас дурят! Рядом с чудом сохранившейся ручкой нашли и чудом сохранившегося неандертальца! И злодеи заставили его решать задачку!
    answer img
  • Добавить свой ответ

Войти через Google

или

Забыли пароль?

У меня нет аккаунта, я хочу Зарегистрироваться

How much to ban the user?
1 hour 1 day 100 years