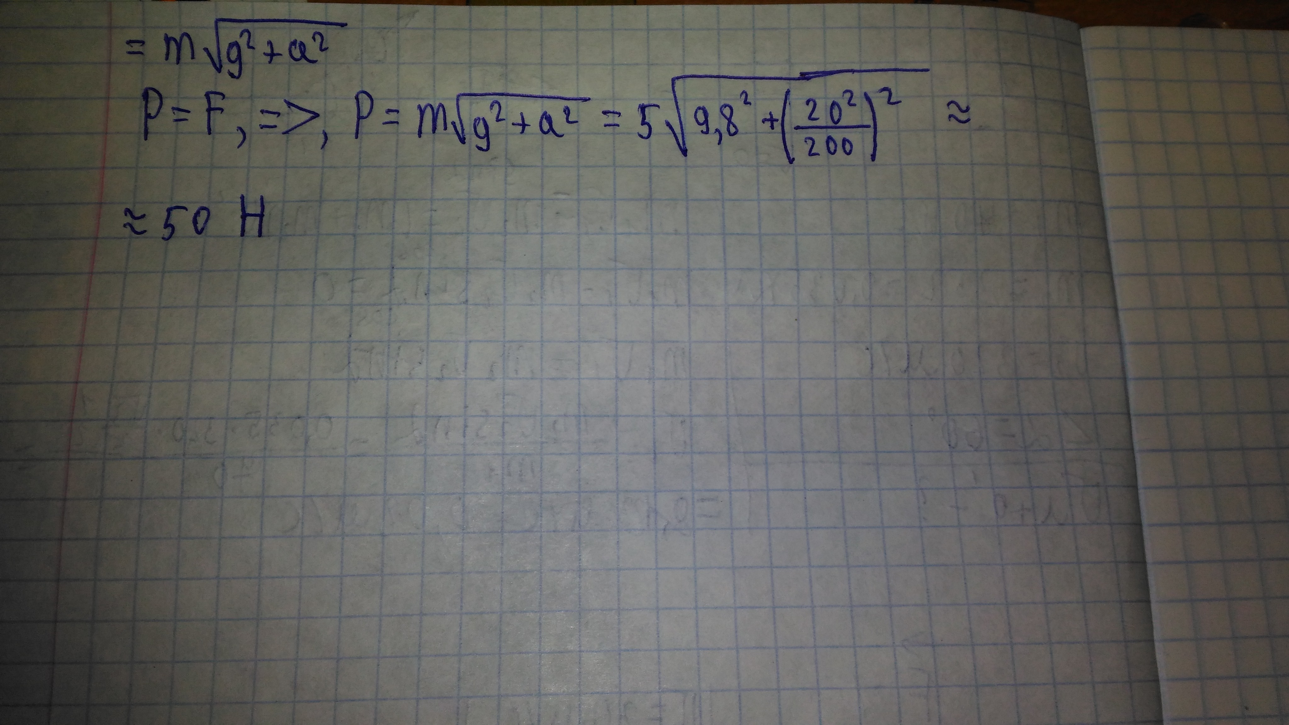
• правильно ли решена задача? Если нет, то помогите решить.

    question img
    question img
    question img

Ответы 1

  • Молодец, все правильно.

    Силу нашли как равнодействующую векторов силы тяжести и центробежной силы.

    =========================

  • Добавить свой ответ

Еще вопросы

Войти через Google

или

Забыли пароль?

У меня нет аккаунта, я хочу Зарегистрироваться

How much to ban the user?
1 hour 1 day 100 years