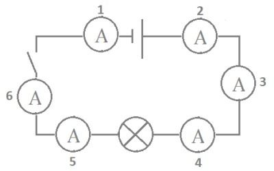
• aмперметр 2 показывает силу тока 0,49 А. Какую силу тока показывает амперметр 6?

    Ответ: амперметр 6 показывает
    0,49
    А.

    question img

Ответы 1

  • ток на амперметре 6 как и на всех остальных, один 0.49А.
  • Добавить свой ответ

Войти через Google

или

Забыли пароль?

У меня нет аккаунта, я хочу Зарегистрироваться

How much to ban the user?
1 hour 1 day 100 years