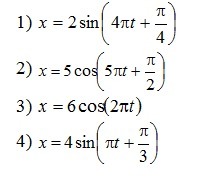
• Даны уравнения гармонических колебаний четырёх пружинных маятников с одинаковыми коэффициентами упругости k. Маятник, имеющий наибольшую массу – ....
    (варианты ответа на картинке).

    question img

Ответы 1

  • ω=√(k/m)Чем больше масса, тем меньше ωЭтому условию соответствует 4 ответ   (ω=π)==========================
    • Автор:

      genesis
    • 6 лет назад
    • 0
  • Добавить свой ответ

Войти через Google

или

Забыли пароль?

У меня нет аккаунта, я хочу Зарегистрироваться

How much to ban the user?
1 hour 1 day 100 years