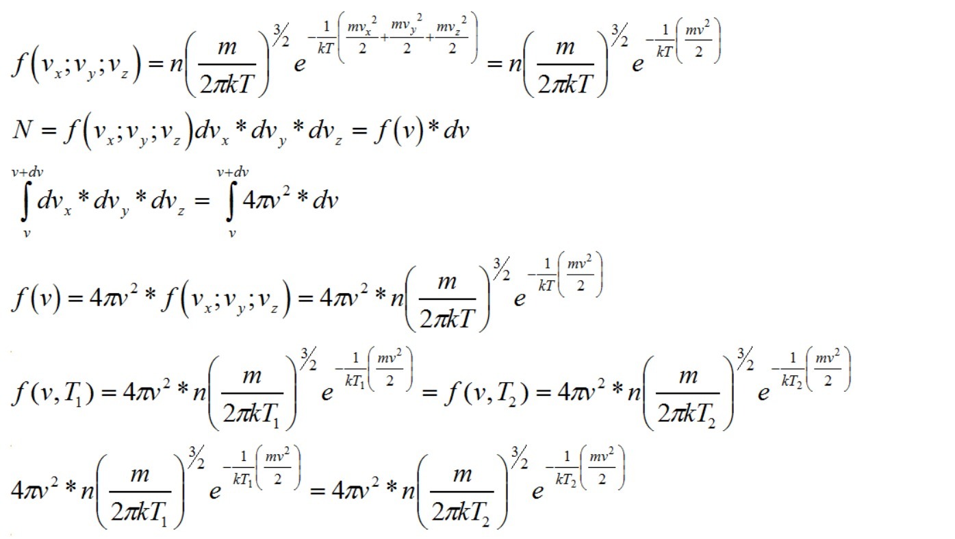
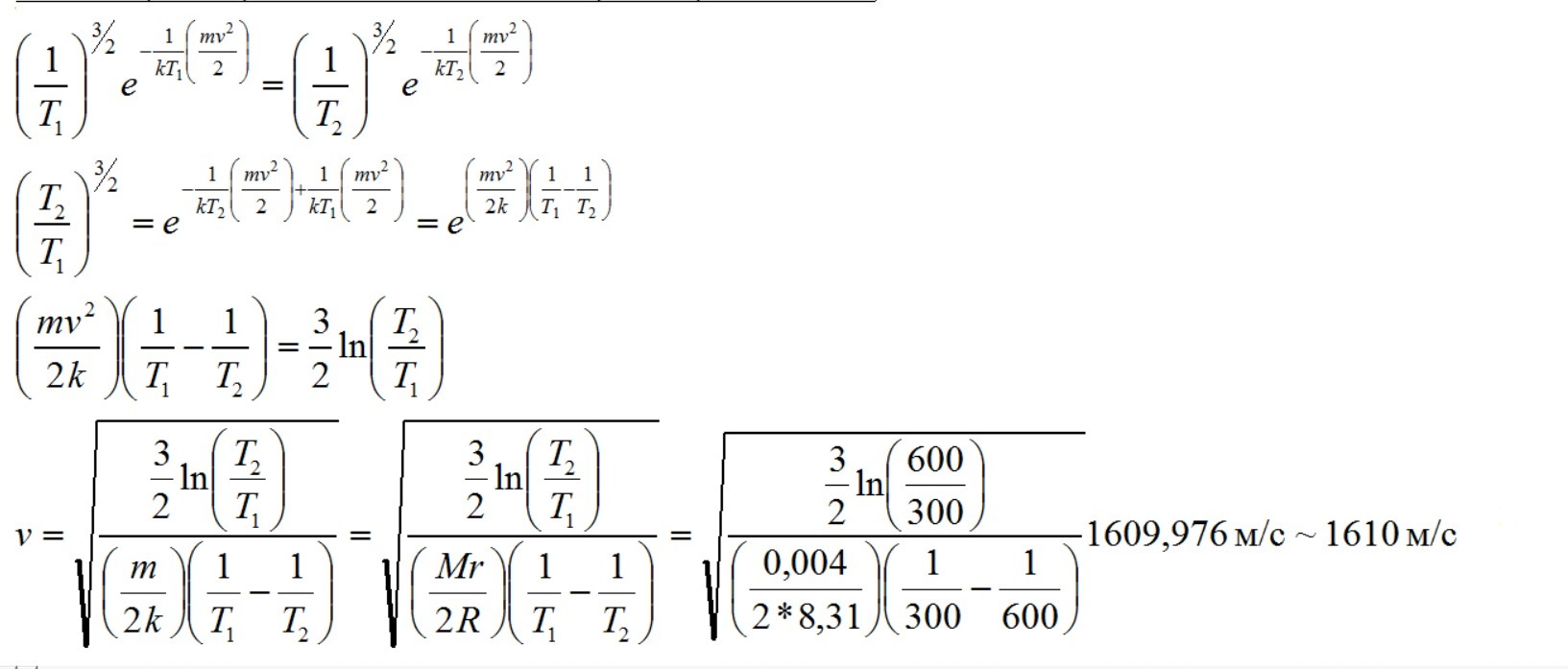
• Плотность вероятности обнаружения молекул гелия с некоторой скоростью оказалась одинаковой при температуре т1=300 К и Т2=600К. найти значения этой скорости.(отв 1610 м/с)

Ответы 1

  • для решения задачи нужно вспомнить распределение молекул по скоростям (распределение максвела) а еще точнее - распределение по модулю скорости (смотри ниже) и приравнять два распределения для разных температур. фактически мы ищем точку пересечения двух графиков.
    answer img
    answer img
    answer img
    answer img
  • Добавить свой ответ

Войти через Google

или

Забыли пароль?

У меня нет аккаунта, я хочу Зарегистрироваться

How much to ban the user?
1 hour 1 day 100 years