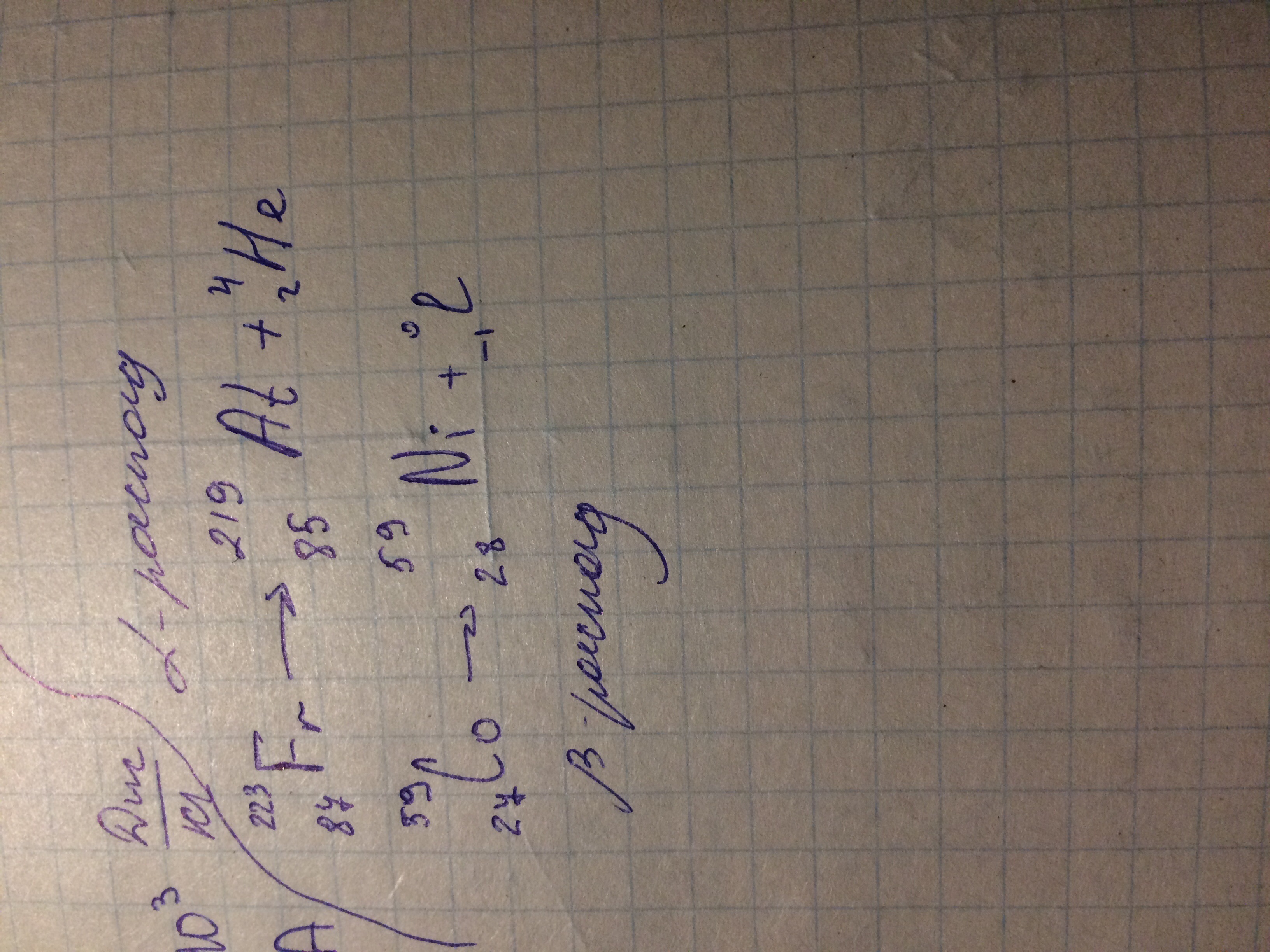
• 1. Напишите реакцию альфа распада Франция
    2. Напишите реакцию Бетта-распада Кобальта
    Плееееез

Ответы 1

  • Ответ во вложении, надеюсь правильно
    answer img
  • Добавить свой ответ

Войти через Google

или

Забыли пароль?

У меня нет аккаунта, я хочу Зарегистрироваться

How much to ban the user?
1 hour 1 day 100 years