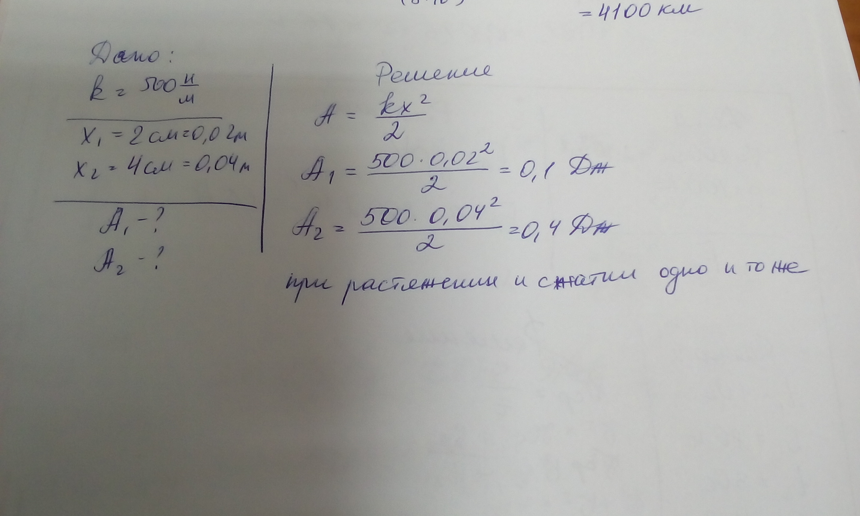
• Какую работу надо совершить, чтобы пружину жесткостью 500 Н\м : а) растянуть на 2см; 4 см; б) сжать на 2 см; 4см ?

Ответы 1

  • Смотри решение...........
    answer img
  • Добавить свой ответ

Еще вопросы

Войти через Google

или

Забыли пароль?

У меня нет аккаунта, я хочу Зарегистрироваться

How much to ban the user?
1 hour 1 day 100 years