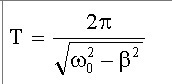
• Есть формула для периода затухающих колебаний (смотреть на фотке), так вот, а меня попросили получается как-то из этой формулы найти омега нулевое и бетта. Так как это сделать? Или может быть есть уже готовые формулы?

    question img

Ответы 1

  • Как это сделать? Ну была такая арабская книжка, в которой это было подробно изложено, называлась "Китаб аль-Джебр"Вот так это делается\displaystyle
T^2 = \frac{4\pi^2}{\omega_0^2-\beta^2}\\\\
\omega_0^2-\beta^2 = 4\pi^2/T^2\\\\
\omega_0 = \sqrt{\beta^2+4\pi^2/T^2}\\
\beta = \sqrt{\omega_0^2 - 4\pi^2/T^2}
    • Автор:

      dariabidv
    • 6 лет назад
    • 0
  • Добавить свой ответ

Еще вопросы

Войти через Google

или

Забыли пароль?

У меня нет аккаунта, я хочу Зарегистрироваться

How much to ban the user?
1 hour 1 day 100 years