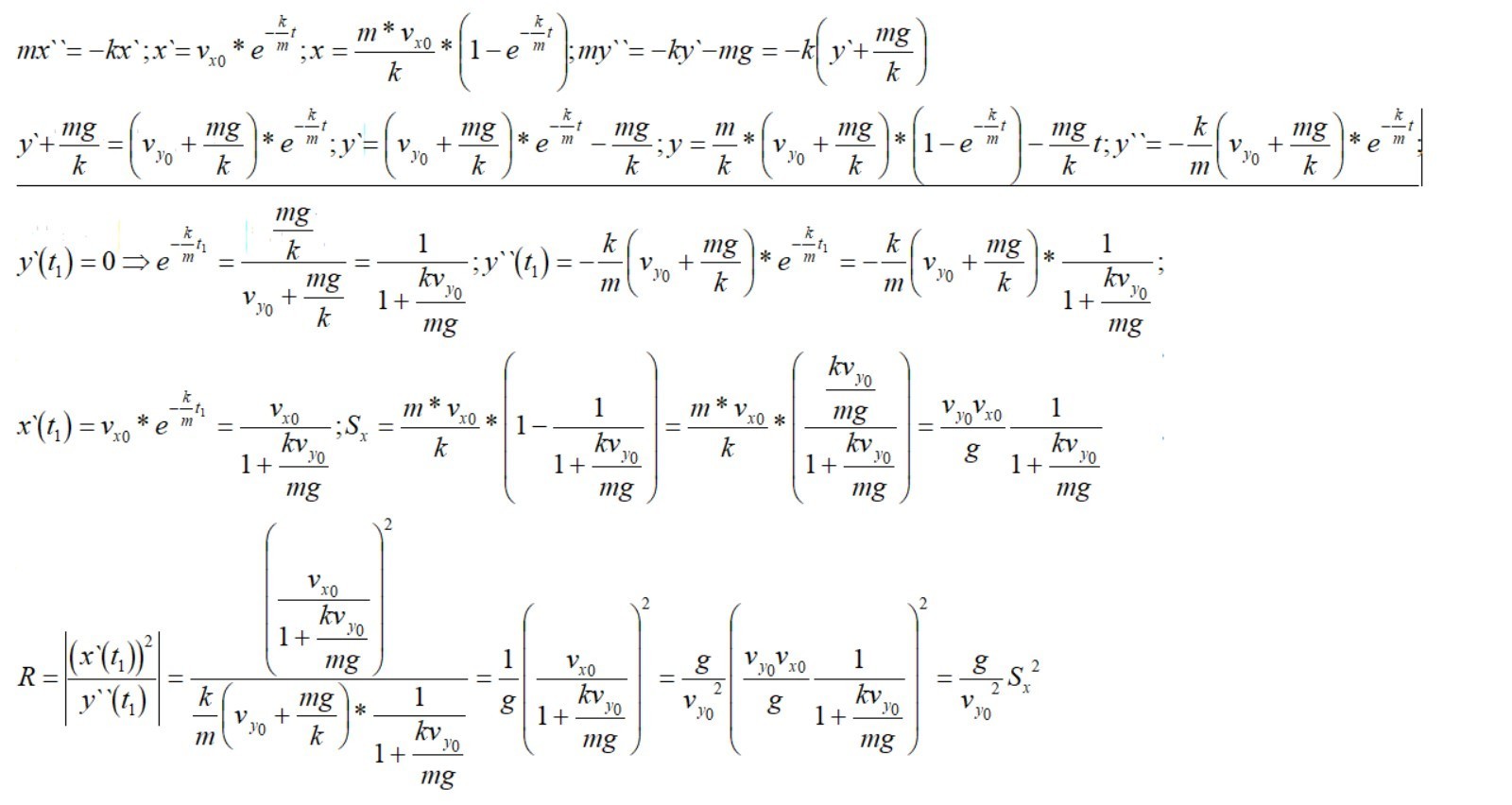
• Задача на сопротивление воздуха:

    Из пушки выпущен снаряд с начальной скоростью v0 под углом α к горизонту. В процессе полёта на снаряд действует аэродинамическая сила, пропорциональная скорости F = -kv, здесь k > 0 и не
    зависит от скорости. К моменту достижения высшей точки траектории
    горизонтальное перемещение снаряда равно Sx . Найдите радиус R
    кривизны траектории в малой окрестности высшей точки.

Ответы 1

  • смотри решение во вложении
    answer img
  • Добавить свой ответ

Войти через Google

или

Забыли пароль?

У меня нет аккаунта, я хочу Зарегистрироваться

How much to ban the user?
1 hour 1 day 100 years