• Хелпа
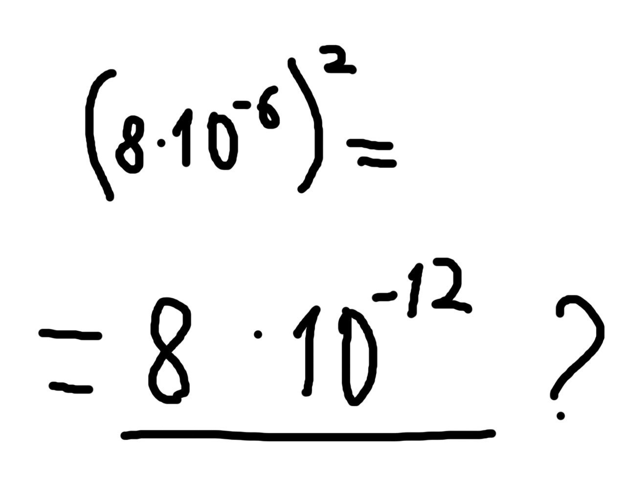
    Правильно или 8 тоже в степень нужно возвести?

    question img

Ответы 2

  • Значит не все верно...
    • Автор:

      angelfnbn
    • 6 лет назад
    • 0
  • Все верно,только и 8 надо возвести во 2 степень
    • Автор:

      maribel
    • 6 лет назад
    • 0
  • Добавить свой ответ

Войти через Google

или

Забыли пароль?

У меня нет аккаунта, я хочу Зарегистрироваться

How much to ban the user?
1 hour 1 day 100 years