• Груз массой 500 г колеблющийся на пружине за 8 секунд совершил 16 колебаний найдите жёсткость пружины

Ответы 1

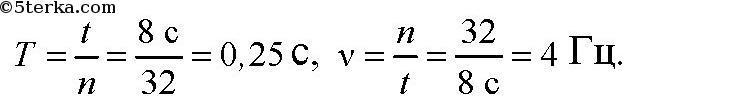
  • Ответ: T = 0,25 c, v = 4 Гц как то так
    answer img
  • Добавить свой ответ

Войти через Google

или

Забыли пароль?

У меня нет аккаунта, я хочу Зарегистрироваться

How much to ban the user?
1 hour 1 day 100 years