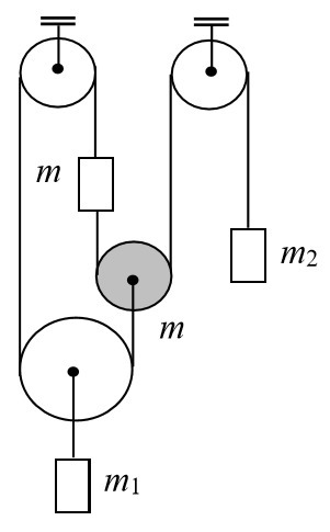
• Система состоит из нескольких грузов, подвешенных на невесомых нитях, перекинутых через невесомые и один массивный (выделен серым цветом) блоки. Масса m = 1 кг. Определите, при каких значениях масс m1 и m2 система будет находиться в равновесии. Трения в осях блоков нет

    question img
    question img

Ответы 1

  • Обозначим силу натяжения нитей верхних блоков за Т1 и Т2.

    Запишем условия равенства нулю суммы вертикальных сил, действующих на тела системы:

    1. Для невесомого подвижного блока 1:

             m1*g = 2*T1

    2. Для тела m2:

             m2*g = T2

    3. Для тела m:

             m*g = T1+T2

    4. Для весомого подвижного блока 2:

             m*g = 2*T2

    Из уравнений 3 и 4:

    T1 = T2 (система в равновесии).

    Получаем:

             m1 = 0,2*T1

             m2 = 0,1*T1

             10=2*Т1

    Тогда:

             T1 = 5 Н

              m1 = 0,2*T1 = 1 кг

              m2 = 0,1*T1 = 0,5 кг

     

    answer img
    • Автор:

      jagsowen
    • 2 года назад
    • 3
  • Добавить свой ответ

Войти через Google

или

Забыли пароль?

У меня нет аккаунта, я хочу Зарегистрироваться

How much to ban the user?
1 hour 1 day 100 years