• 9 КЛАСС
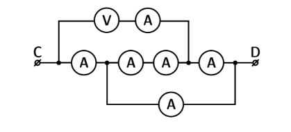
    На рисунке представлена схема фрагмента электрической цепи, состоящего из шести одинаковых амперметров и одного вольтметра.

    К концам C и D этого фрагмента прикладывают постоянное напряжение, в результате чего вольтметр показывает U0=105 мВ, а сумма показаний всех амперметров составляет I0=70 мА. Чему равно внутреннее сопротивление одного амперметра, если оно пренебрежимо мало по сравнению с сопротивлением вольтметра? Ответ выразить в
    Ом, округлив до десятых. Сопротивлением соединительных проводов пренебречь.

    question img

Ответы 1

  • Дано: U0=65 мВ ; I0=150 мА Найти: R-? Решение:  По закону Ома: I=U/R ; U=IR ; R=U/I ; R=65 мВ/150 мА ≈ 0.4 Ом но, 65мВ и 150мА это сумма амперметров тогда Ответ: 1.7Ом
  • Добавить свой ответ

Еще вопросы

Войти через Google

или

Забыли пароль?

У меня нет аккаунта, я хочу Зарегистрироваться

How much to ban the user?
1 hour 1 day 100 years