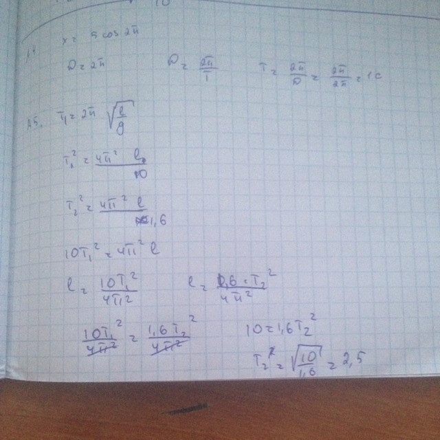
• период колебания математического маятника на земле равен 1с определить период колебания этого маятника на планете ускорение свлбодного падения на которой равен 1,6м\с2
    нужно с А4 до А7

    question img

Ответы 1

  • =====================================
    answer img
    • Автор:

      nancy4xmv
    • 2 года назад
    • 3
  • Добавить свой ответ

Войти через Google

или

Забыли пароль?

У меня нет аккаунта, я хочу Зарегистрироваться

How much to ban the user?
1 hour 1 day 100 years