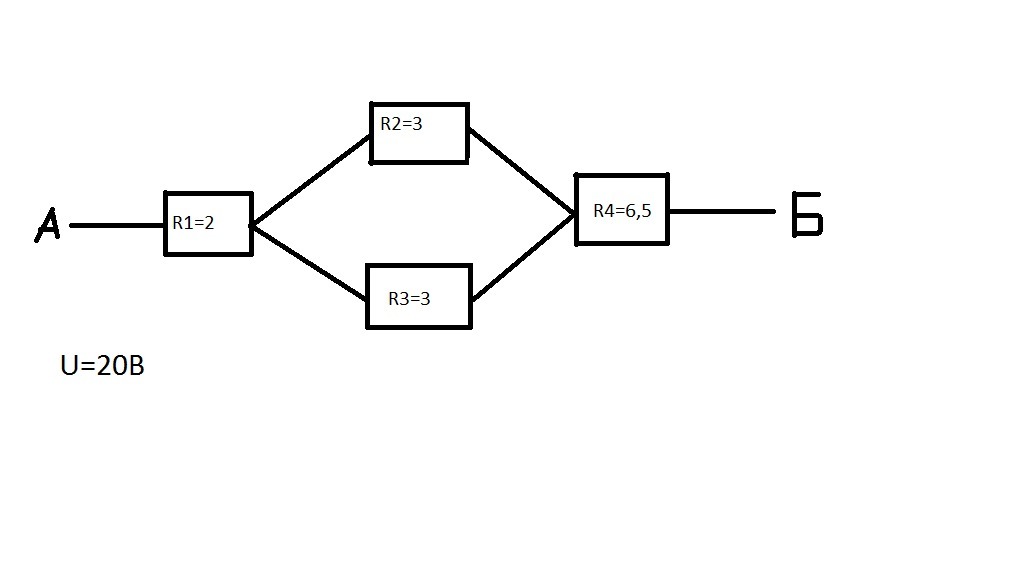
• Дано:
    R1=2
    R2=3
    R3=3
    R4=6,5
    U=20B
    Найти:
    I1=?
    I2=?
    I3=?
    I4=?

    question img

Ответы 2

  • На сколько процентов уверен, в правильности?)
    • Автор:

      ianjames
    • 6 лет назад
    • 0
  • 99.9% , формулу привел, расчеты должны быть верны
    • Автор:

      belleepxo
    • 6 лет назад
    • 0
  • Добавить свой ответ

Войти через Google

или

Забыли пароль?

У меня нет аккаунта, я хочу Зарегистрироваться

How much to ban the user?
1 hour 1 day 100 years