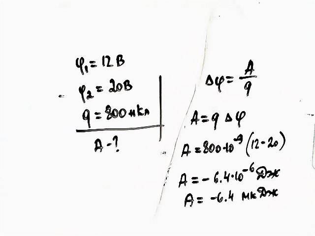
• Потенциалы двух точек A и B в электрическом поле соответственно равны минус ф1=12 и + ф2=20 B. Какую работу надо совершить чтобы перенести заряд в q=800 нкл из точки А в точку B?

Ответы 1

  • Потенциалы двух точек A и B в электрическом поле 
    answer img
  • Добавить свой ответ

Войти через Google

или

Забыли пароль?

У меня нет аккаунта, я хочу Зарегистрироваться

How much to ban the user?
1 hour 1 day 100 years